Rev Bras Oftalmol.2025;84:e0036
Crosslinking de colágeno corneano por exposição solar e riboflavina oral em altas doses: um estudo observacional longitudinal multicêntrico
DOI: 10.37039/1982.8551.20250036
RESUMO
Objetivo:
Avaliar a eficácia do tratamento com riboflavina oral em altas doses associada à exposição solar na prevenção da progressão do ceratocone.
Métodos:
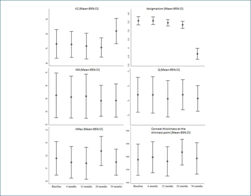
Estudo observacional multicêntrico, retrospectivo, envolvendo 53 pacientes com ceratocone (106 olhos) de três cidades brasileiras. Os pacientes foram orientados a tomar 400 mg/dia de riboflavina oral e se expor ao sol por 30 minutos diários, além de evitar esfregar os olhos. As medidas ceratométricas foram avaliadas antes e após 6, 12, 24 e 36 meses de tratamento.
Resultados:
Após 6 meses, 42 pacientes continuaram o estudo. Houve aplainamento da córnea sem decréscimo significativo da espessura. Aos 36 meses, notou-se estabilização do ceratocone, com pequenas variações nas medidas de astigmatismo e espessura corneana.
Conclusão:
O tratamento com riboflavina oral e exposição solar aparenta ser eficaz na estabilização da progressão do ceratocone.
Palavras-chave: Ceratocone; Crosslinking corneano; Progressão da doença; Riboflavina

