Rev Bras Oftalmol.2026;85:e0030
Aplicação da Inteligência Artificial na predição de malformações oftalmológicas congênitas a partir de dados perinatais
DOI: 10.37039/1982.8551.20260030
RESUMO
Objetivo:
Avaliar se um modelo de Inteligência Artificial baseado em variáveis perinatais de fácil acesso é capaz de prever malformações oftalmológicas congênitas, sobretudo aquelas cuja detecção tardia pode levar à cegueira evitável.
Métodos:
Estudo retrospectivo de acurácia diagnóstica utilizando o banco de dados do DATASUS. Foram incluídos 6.633 recém-nascidos no Brasil entre 2014 e 2022, sendo 2.211 com malformações oftalmológicas congênitas (CID-10 Q100-Q159) e 4.422 controles. Analisaram-se 14 variáveis maternas, obstétricas e neonatais, excluindo-se registros com dados faltantes. Aplicaram-se modelos de regressão logística e máquina de vetor de suporte, avaliando acurácia, sensibilidade, especificidade e AUC. Subanálises consideraram malformações oftalmológicas congênitas de difícil diagnóstico clínico e condições rastreáveis com impacto terapêutico.
Resultados:
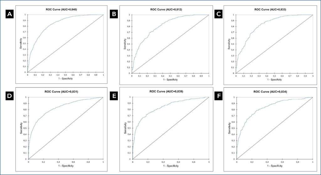
A regressão logística apresentou sensibilidade de 55,05%, especificidade de 91,32% e AUC 0,833; a máquina de vetor de suporte obteve 47,82%, 93,01% e 0,834. Para malformações oftalmológicas congênitas de difícil diagnóstico, a regressão logística alcançou AUC 0,795 e a máquina de vetor de suporte 0,842. Para condições rastreáveis, a regressão logística obteve AUC 0,790 e a máquina de vetor de suporte 0,761.
Conclusão:
Modelos de Inteligência Artificial baseados em dados perinatais mostraram boa acurácia para identificar malformações oftalmológicas congênitas, auxiliando no rastreio inicial em cenários com recursos limitados.
Palavras-chave: Diagnóstico precoce; Malformações do sistema nervoso; Oftalmopatias; Sistemas inteligentes

